| Vocal Tract Resonances and the Sound of the Australian Didjeridu (Yidaki) | ||||||||||||||||||||||||||||||||||||||||||||||||||||||||||||||||||||||||||||||||||||||||||||||||||||||||||||
|
Vocal tract resonances and the sound of the Australian didjeridu (yidaki). John Smith,a) Guillaume Rey, and Paul Dickens Neville Fletcher Lloyd Hollenberg Joe Wolfe (Received 24 July 2006; revised 4 October 2006; accepted 9 October 2006) Traditional didjeridus have a broad range of bore geometries with many details not immediately
apparent to a player, and are therefore suitable for examining the relationship between perceived
quality and physical properties. Seven experienced players assessed the overall playing quality of 38
didjeridus that spanned a wide range of quality, pitch, and geometry, as well as 11 plastic cylindrical
pipes. The ranking of these instruments was correlated with detailed measurements of their acoustic
input impedance spectra. Most significantly, the ranked quality of a didjeridu was found to be
negatively correlated with the magnitude of its acoustic input impedance, particularly in the
frequency range from 1 to 2 kHz. This is in accord with the fact that maxima in the impedance of
the player’s vocal tract can inhibit acoustic flow, and consequently sound production, once the
magnitude of these impedance maxima becomes comparable with or greater than those of the
instrument. This produces the varying spectral peaks or formants in the sound envelope that
characterize this instrument. Thus an instrument with low impedance and relatively weak impedance
maxima in this frequency range would allow players greater control of the formants in the output
sound and thus lead to a higher perceived playing quality. © 2007 Acoustical Society of America. I. INTRODUCTION The didjeridu (or didgeridoo) is an unusual and ancient musical instrument originally played in parts of Northern Australia, where the Yolngu people call it the yidaki or yiraki. In didjeridu playing, the configuration of the player’s vocal tract has a spectacular effect on the timbre, for reasons that have been explained elsewhere (Tarnopolsky et al., 2005, 2006; Fletcher et al., 2006). In performance, the player (usually a man) places his lips at the narrower end of the instrument and uses the technique of "circular breathing" that allows him to play without stopping. This involves filling his cheeks with air, then inhaling quickly through the nose (and bypassing the mouth at the soft palate) to refill the lungs with air. The contrast between the sounds produced during inhalatory and exhalatory play is often used to establish a rhythm, which is believed to give the instrument its onomatopoeic Western name. Unusual among wind instruments, it usually only plays a single note at the frequency of its lowest resonance, although overblowing to produce notes at the second or very occasionally higher resonances is sometimes used to produce musical accents. Apart from the interesting rhythm, the chief musical interest in performance thus comes not from pitch variation, but from the contrasting and varying timbres that can be produced by either deliberate movement of the player’s tongue and/or by movements associated with "circular breathing." There are also vocalizations—sounds that are introduced when the player deliberately sings simultaneously at a frequency different from that of the lips. Acoustical aspects of the didjeridu previously studied include observations of the lip motion (Wiggins, 1988; Tarnopolsky et al., 2006), numerical modelling of the lip motion (Hollenberg, 2000), the linear acoustics of the instrument (Amir and Alon, 2001; Amir, 2003, 2004; Caussé et al., 2004), the lip-air column interaction (Fletcher, 1983; 1996) and the interactions among the vocal tract, the vocal folds, the lip motion, and the didjeridu air column (Tarnopolsky et al., 2005, 2006; Fletcher et al., 2006). Another unusual feature of the instrument is that its bore is largely constructed by termites that eat the interiors of small eucalypt trees. This produces an irregular and somewhat flared bore. Suitable tree trunks are selected by listening to the sound made by tapping them, then cut to yield a length of typically 1.2-1.5 m (different cultural groups have different styles). The central bore is then cleared of debris and a ring of beeswax placed on the smaller end of the instrument to allow a better and more comfortable seal around the player’s mouth. In the first two papers in this series (Tarnopolsky et al., 2006; Fletcher et al., 2006), it was shown how and why changes in the geometry of a player’s vocal tract may have a large effect on the timbre of the sound produced by the instrument. But what is the effect of the geometry of the bore? More particularly, what makes a didjeridu a good or a bad instrument in the judgment of performers? One possibility is to examine the sound produced by a didjeridu when played (e.g. Amir 2003, 2004; Caussé et al. 2004): a good instrument should make a good sound. However, this approach has the disadvantage that the quality of the didjeridu/player combination is being studied rather than the intrinsic quality of the didjeridu. (A superior player might be capable of producing a superior sound from an inferior instrument, whereas an inferior player might only produce an inferior sound from a superior instrument.) Further, the very large variation in timbre that an experienced player may produce on one instrument, using his vocal tract, could easily mask differences among instruments. The above problems can be avoided, in principle, by measuring the intrinsic acoustical properties of instruments, without players, and comparing these with subjective rankings of quality provided by players. However, studies aimed at correlating the intrinsic acoustical properties of orchestral instruments with their quality as judged by players are known to be difficult for a variety of reasons (e.g., Pratt and Bowsher, 1978, 1979). The difficulties may be less with the didjeridu for the following reasons:
Any decision on the quality of a musical instrument should be made by experienced players. In this paper the quality of 38 naturally made didjeridus, spanning a wide range of quality and geometry, and a typical range of pitch, was assessed by two very experienced players involved in selling didjeridus (from a wholesale and mail order enterprise called "the Didjshop") and also a panel of five experienced players with a range of styles from traditional to contemporary. To determine the possible influence of pitch on assessed quality, a control study was also made on nine didjeridus made from plastic pipe, which differed only in their length. The subjective assessments of players were then correlated with detailed measurements of the acoustic input impedance spectra and geometrical parameters of the 38 didjeridus to determine which acoustical properties are important to players. II. MATERIALS AND METHODS A. The didjeridus The 38 traditional didjeridus studied were all from the collection of the "Didjshop" (www.didjshop.com). This is a commercial enterprise located near Kuranda in North Queensland, approximately 2000 km to the north of Brisbane, the state capital. It handles thousands of didjeridus each year; each one has been harvested and crafted by a local indigenous craftsperson from a termite-eaten Eucalypt. This results in instruments with a very wide range of geometries and consequently there is a large variation in quality among these instruments. During the last 13 years the Didjshop has developed a standardised procedure to classify these instruments and maintains a large database including these classifications and other information. Each didjeridu used in the current study has undergone the standard preparation of instruments handled by the enterprise. Each is subjected to a proprietary treatment to stabilize the wood against cracking, and then varnished or painted if required. (For painting, the instruments are returned to local indigenous artists.) Each is then played and assigned a nominal playing pitch (henceforth denoted as the pitch). Two experienced musicians then play the instrument and assess its sound quality in one of eight categories. They also compare it with a permanent set of reference instruments consisting, for each note over the normal pitch range, of several instruments with different degrees of quality. The didjeridu to be sold is then assigned to one of five major categories according to its overall sound and performance quality (see below). The 38 traditional instruments whose acoustical properties were measured in the current study include 33 instruments from a collection that is not for sale, and therefore in principle could be used in future studies. They were selected to cover a wide range of assessed qualities and nominal pitches ranging from A1 (55 Hz) to G2 (98 Hz). There were five instruments at each of F2, E2, and C2; 4 instruments at D#2 and D2; 3 instruments at G2, C#2, B1, and A#1; 2 instruments at A1. The internal diameter at the mouth end of the instrument, din, had been measured previously for each instrument prior to the application of the beeswax. The maximum and minimum internal diameters of the often asymmetric bore at the terminal end of the instrument were measured using calipers, and the effective output diameter, dout, taken as their geometric mean. The perceived quality of a didjeridu might depend upon its playing pitch. This would be difficult to investigate using traditional instruments because of the wide variations in bore profile between instruments. Consequently a study was also made on 9 PVC tubes with the same diameter (38 mm), but different lengths, that covered the pitch range from A1 to F2. A study was also made on a set of 3 PVC tubes with different diameters (25, 38, and 50 mm), but the same pitch—C2 (nominally 65.4 Hz). B. The players In addition to the two experienced members at the Didjshop, five other experienced players volunteered for this study to assess the sound quality of each didjeridu on each of seven criteria. They then also ranked each didjeridu according to its overall quality. These five players had an average of 11 years playing experience, in styles ranging from traditional to contemporary. C. The assessed quality of each didjeridu The classification procedure used by the Didjshop involves the staff assessing the sound quality of each instrument by awarding a score out of five in each of the following seven categories; backpressure, clarity, resonance, loudness, overtones, vocals, and speed. Each instrument is then assessed for its overall quality by awarding a score out of ten. This classification system has been used by the staff for 13 years to describe thousands of instruments. For each instrument, these and other data, a brief sound file and a photograph are recorded. Because this database was available, and because the classifications were familiar to the standard panel players, we retain this classification system for the current study. However, in this paper we concentrate on the overall quality awarded. The five major categories used by the Didjshop are given names chosen for commercial reasons. They are (with the associated scores): High concert class. These didjeridus represent the best 1%-2% of the instruments sold/handled by the Didjshop. (They are judged to score 10 out of 10 for overall quality). Medium concert class. These didjeridus will have rated 4 out of 5 in most sound attributes and should not score less than 4 in either clarity or resonance (overall quality score 8 of 10). Low concert class. These didjeridus are guaranteed to have a better sound quality than that of a PVC pipe (overall quality score 6 out of 10). First class. These are of sound quality similar to or better than that of a PVC pipe (overall quality score 4 out of 10). Second class. These instruments display a major shortcoming in one or more categories, usually clarity. It is suggested that these are more suited to being used as artifacts for display rather than as musical instruments (overall quality score 2 out of 10). Instruments are also often assigned to intermediate classes resulting in nine possible classes. Examples of the sound produced by a representative instrument belonging to each of the above five main classes when played by the same musician are available on the web: see http://www.didjshop. com/shop1/soundscapescart.html; The instruments studied spanned the whole range from "second" to "high concert." D. Measurements of the input impedance spectra of each didjeridu An impedance spectrometer described previously (Smith et al., 1997; Epps et al., 1997) was adapted for this study, using some of the techniques of Gibiat and Laloe (1990) and of Jang and Ih (1998), and used to measure the input impedance spectrum of each instrument, i.e., the impedance at the end that is blown by the player. Briefly, a waveform is synthesized from harmonic components, amplified, and input via a loudspeaker and impedance matching horn to a waveguide of known geometry with three microphones. The spectrometer is calibrated by connecting this waveguide to two reference impedances. One reference is an acoustic open circuit—a rigid seal located at the measurement plane. The other reference is an acoustically quasi-infinite cylindrical pipe whose impedance is assumed to be real and equal to its calculated characteristic impedance. The spectrometer is then connected to the impedance to be measured, and the unknown impedance spectrum calculated from the pressure components measured in the measurement and two calibration stages. The bore diameter of the didjeridu is larger than that of the instruments we have studied previously (Smith et al., 1997; Wolfe et al., 2001) and consequently a lower impedance reference was required. The acoustically semi-infinite cylindrical pipe used for calibration in this study had an internal diameter of 26.2 mm and a length of 194 m. Because the first curve in the pipe occurs at 40 m from the impedance spectrometer and because any curves have a radius of 5 m or greater, the effects of reflections from these curves are expected to be negligible and this reference impedance should be purely resistive. Measurements were made at a sample rate of 44.1 kHz using a MOTU 828 audio converter (nominal 24-bit) connected via a Firewire serial connection to a MacIntosh G4 iBook. Small electret microphones (Tandy #33-1052) were used in conjunction with a deltatron preamplifier (Bruel & Kjaer 2693 OS2). The stimulus waveform contained 2194 harmonics with a fundamental frequency of 1.346 Hz spanning the frequency range from 50 to 3000 Hz. III. RESULTS AND DISCUSSION A. Consistency of the subjective assessments of overall quality Musicians have different musical backgrounds, preferences and individual styles. This observation is at least as true of the didjeridu players as of most other instrumentalists; indeed the variation may be greater for the didjeridu because of the absence of a formal academic tuition system with examinations. Consequently, a player’s assessment of the quality of an instrument could be influenced by its suitability to his particular style of playing. It is thus important to examine how consistently the instruments are judged by the players. Because it is difficult to maintain an absolute scale for these subjective parameters, the relative rankings will be used for analysis rather than the individual scores. 1. Ranking of traditional instruments by the players The Kendall coefficient of concordance, W, calculated from the individual ranking of overall quality by the 5 players for the 38 traditional didjeridus was calculated to be W =0.335. (W is a parameter used to rank the concordance of judgements; W=1 if all players ranked the instruments in exactly the same order, W=0 if the rankings were essentially at random, see Kendall and Babington Smith (1939).) This value corresponds to a (2=62 and a probability p=0.006 that such a result might arise by chance. (The "probability" p is used hereafter in this sense, subject to the usual assumptions. ) 2. Ranking of PVC pipes by the players Nine of the 11 PVC pipes studied had the same internal diameter and were identical except for their length; this should only substantially affect the sounding pitch of each instrument. Providing the assessed overall quality is independent of pitch, the scores assigned by the five players to these nine instruments would be expected to be very similar, and ranked in no particular order. Indeed the Kendall coefficient of concordance, W, showed no significant correlation in the ranking of overall quality for these instruments. There was also no significant correlation between overall quality and pitch. The average score for overall quality for the PVC pipes was (3.0/10) which would have placed them in a traditional didjeridu category midway between first class (4/10) and second class (2/10). This is consistent with the definitions given in Sec. II C. Three of the PVC pipes were of the same length, but had different internal diameters (25, 38, and 50 mm). There was a significant difference in their scores and in their rankings. The value of W=0.88 indicated a significant correlation between the rankings for overall quality, with a probability p =0.012 that this correlation might arise by chance. Players showed a distinct preference for a large internal diameter with the widest tube ranked as the best and the narrowest tube ranked as the worst of the 11 PVC pipes. 3. Comparison with the Didjshop rankings The assessments made by the Didjshop involve musicians with experience of thousands of instruments. It is thus quite likely that their ranking might differ from those made by the five volunteer players. However the Spearman rankorder correlation coefficient, rS (see Kendall and Babington Smith, 1939) calculated between the average ranking awarded by the Didjshop and the average ranking of the five players for the traditional instruments was rS=0.51 with a probability p=5×10−4 that such a non-null result might arise by chance. There was thus good agreement between the rankings of the Didjshop and the players. The "ranked quality" of each instrument used for the remainder of this paper was derived by averaging the Didjshop ranking for overall quality and the mean ranking of the panel of five players for overall quality. There were only two ties in the ranked quality of the traditional instruments (one pair with rank 17 and one pair with rank 30). B. Does assessed quality depend upon pitch? A most obvious difference among the 38 traditional didjeridus studied is that they play at different pitches. It is thus important to check first whether the pitch influences the ranked quality. For example, it is possible that players might prefer didjeridus in a certain pitch range, perhaps the range they have most commonly used or heard. However the following results indicate that, over the range studied (A1-G2), pitch does not influence the ranked quality:
Consequently, we did not divide the didjeridus into groups with limited pitch range, and instead used all of the 38 traditional didjeridus studied for the correlation studies C. The acoustic input impedance Figure 2 shows the input impedance spectrum Z(ƒ) measured on three of the instruments. Of the 38 studied, they were the instruments with the best, an intermediate, and the worst overall ranking for quality. All the impedance spectra showed the expected strong resonance at the fundamental frequency that is required for maintenance of the vibration regime. However the amplitude of the higher resonance peaks decreased rapidly with increasing frequency in the Z(ƒ) spectra of didjeridus of higher ranked quality, leaving spectra with little structure and only maxima of low magnitude in the region of 1-2 kHz, which is where formants are emphasized in performance. (Throughout this paper, we use "resonance" to refer to a passive acoustic property of a system and "formant" to refer to a consequent broad spectral peak in the envelope of the sound spectrum. Although some writers use "formant" in both senses, in this paper it is necessary to distinguish carefully the two different phenomena.)
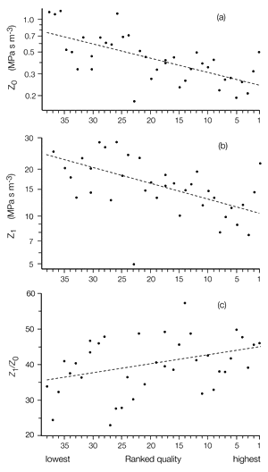
In general, the magnitudes of the first few peaks in the spectrum decrease monotonically with increasing frequency. For brevity, we write Zn to denote the magnitude of the nth maximum in Z(ƒ) with frequency ƒn. In only one of the 38 instruments studied was Z2 significantly higher than Z1 (instrument #5). The 38 traditional didjeridus studied here are thus quite different from the instrument E1 studied by Amir (2004) for which Z3 was noticeably higher than Z1 and Z2. D. The relationship between quality and the acoustic impedance of the fundamental resonance The low frequency impedance of the instrument is mainly responsible for controlling the vibration regime. Although a strong low frequency resonance is obviously essential, the strength of the resonance (however defined) might be less important for the didjeridu than for other instruments where precise and rapid changes in pitch are important.
1. Z0: The characteristic impedance An effective value for Z0, deliberately biased by frequencies near that of the playing pitch, was defined as the geometric mean of the magnitudes of the first maximum (Z1) and first minimum (Zmin) in the impedance spectrum. [On the semilogarithmic plots of Z(ƒ) shown in Fig. 2 it falls halfway between the first maximum and minimum.] Z0 was found to vary from approximately 0.2 to 1 MPa s m−3. This corresponds to the expected values for cylindrical pipes with diameters in the approximate range 25-50 mm. Figure 3(a) shows there is a negative correlation between ranked quality and Z0, higher quality instruments being associated with a lower Z0. It could be argued that the effective value of Z0 defined above is a slight overestimate because the magnitude of successive extrema in Z(ƒ) will decrease with increasing frequency. This can be a consequence of increased losses due to wall damping and/or radiation losses from the open end of the instrument. The decrease in extrema with increasing frequency could be described in the form Zi = Z1 exp[λ(ƒi - ƒ1)], (1) where λ was estimated by linear regression to the first 3-6 maxima of log Z(ƒ). The regression was always significant to 5% or better. The effect of a decrease in extrema with increasing frequency upon Z0 can then be allowed for using the relationship, log10(Z0) = [log10(Z1) + log10(Zmin) - λƒdiff/loge(10)]/2, (2) where ƒdiff is the separation in frequency between Z1 and Zmin. Correction of Z0 for the decrease in extrema with increasing frequency was found to reduce Z0 by an average value of 5% and to make no significant difference to any of the correlations studied. 2. Z1: The maximum impedance of the first resonance Z1 was estimated from the largest magnitude measured around the first resonance peak and was found to range from approximately 5 to 40 MPa s m−3. Figure 3(b) shows there is a negative correlation between ranked quality and Z1, higher quality instruments being associated with a lower value of Z1. The impedance spectrum was measured with a frequency resolution of 1.346 Hz and consequently a value of Z1 estimated from the largest measured value can be an underestimate because the peak value of Z1 is unlikely to be measured. Consequently Z1 was also estimated by fitting a polynomial function to the Z(ƒ) data on each side of the measured maximum, and then finding their intersection. Z1 estimated in this fashion was only an average of 12% greater than the maximum measured value. This made no significant difference to any of the correlations studied. 3. Z1 /Z0: The ratio of the maximum value of the first resonance to the characteristic impedance Both Z0 and Z1 are negatively correlated with ranked quality. The ratio Z1 /Z0 was investigated as a measure of the "strength" of the resonance. It varied from approximately 20 to 70, and was positively correlated with ranked quality, but to a smaller degree than the negative correlations for Z0 and Z1 [see Fig. 3(c)]. The correction of Z0 for a decrease in extrema with increasing frequency, and Z1 for finite frequency resolution, only slightly reduced the correlation of the ratio Z1 /Z0 with ranked quality. 4. Q1: The quality factor of the first resonance Q1 was examined as a measure of the "sharpness" of the fundamental resonance. A precise estimation required applying a polynomial interpolating function to the Z(ƒ) data on each side of the first measured maximum, and then finding their intersection. Values ranged from 12 to 86. There was a modest positive correlation between Q1 and ranked quality (see Fig. 4) with players preferring instruments with a sharper peak in Z(ƒ).
5. ƒ1: The frequency of the first resonance ƒ1 ranged from approximately 50 to 105 Hz. No significant correlation was found between ranked quality and ƒ1 (data not shown). This is consistent with the results found with the 9 PVC pipes of different length, but the same diameter. The average difference between the frequency of the nominal playing pitch and ƒ1 was 2%, with the pitch frequency usually slightly above ƒ1. In only one case was the pitch frequency significantly below ƒ1, this was instrument #5 which was noticeably anomalous in that it was the only instrument for which Z1 was significantly lower than Z2. In this case the pitch frequency (98 Hz) fell between ƒ1 (102 Hz) and ƒ2/3 (92 Hz). The relationships between ranked quality and the characteristics of the first resonance show that players strongly prefer instruments with an overall low impedance and, to a lesser degree, a relatively narrow and strong fundamental resonance. E. The relationship between quality and the low frequency impedance maxima It has been suggested previously that the characteristic sound of a didjeridu is partly explained by the presence of a characteristic "hole" in the sound spectrum: in other words, the first few overtones above the fundamental are weak (Amir, 2003, 2004). Could this feature of the spectrum be related to the perceived quality? In most musical reed and lip-valve instruments, at least in the low region of their pitch range, several of the first few maxima in the impedance spectrum are in nearly harmonic ratios: either 1:2:3, etc. (oboe, saxophone etc.), 2:3:4 etc. (brass instruments) or 1:3:5 etc. (clarinet). This means that, at least for low notes, harmonics of the vibration of the reed or lips fall very close to the frequencies of impedance maxima. At these frequencies, the bore operates as an impedance transformer, efficiently matching the relatively high acoustic impedance at the lips or reed to the low impedance of the radiation field. A simple cylindrical pipe has strong impedance maxima with frequencies that fall close to the ratio 1:3:5. Thus the third and fifth harmonics of a note played near the frequency of the first maximum fall near resonances of the bore and so are radiated efficiently. When such a pipe is used as didjeridu, the spectrum of the sound inside the player’s mouth has many harmonics, in the ratio 1:2:3 etc., whose amplitudes fall almost monotonically as frequency increases. The spectrum of radiated sound, on the other hand, has relatively weak second, fourth, and sixth harmonics (Tarnopolsky et al., 2006). A simple cylindrical pipe is classed as a relatively poor didjeridu. Could the quality of a noncylindrical traditional didjeridu be related to how well the first several harmonics are efficiently radiated as sound? Efficient radiation of these low harmonics can be reduced in two distinct ways, or by a combination of them:
We investigate the second effect first: examining the correlation between ranked quality and the resonance frequencies of the instrument bore. 1. ƒ2 / ƒ1: The frequency ratio of the second to the first resonance The ratio ƒ2 / ƒ1 ranged from approximately 2.6 to 3.0. The third harmonic would be enhanced in the radiated sound of an instrument with a value close to 3 compared to an instrument with a value significantly less than 3. No significant correlation was found between ranked quality and ƒ2 / ƒ1 [see Fig. 5(a)]. 2. Harmonicity of impedance maxima The degree of inharmonicity (Fletcher, 2002) was examined by comparing the didjeridu resonance frequencies to those expected for a cylinder. A parameter denoted as the harmonicity was estimated as the slope obtained by fitting a linear relationship between ƒn and (2n−1)ƒ1. There was always a good fit with p<10−5. Values for the harmonicity ranged from 0.72 to 1.0 (a value of 1 would be expected for a perfect cylinder without end effects). There was no significant correlation with ranked quality [see Fig. 5(b)]. This is interesting because it has been previously suggested that inharmonicity can play an important positive role in determining quality (Amir, 2004).
The ratio ƒ2 / ƒ1 and the harmonicity can be significantly affected by the bore angle. An instrument with a larger bore angle (e.g., a truncated cone rather than a cylinder) might be expected to radiate more strongly, which might be a desirable characteristic. Although it is difficult to define a useful bore angle for such an irregular shape, ƒ2 / ƒ1 is a measure of the acoustic property usually associated with bore angle. Although the resonance frequencies appear to be uncorrelated with ranked quality, it is possible that the magnitudes of the maxima in Z(ƒ) might be important. 3. Z2 /Z1: The ratio of the magnitudes of the second to the first resonances The ratio Z2 /Z1 ranged from approximately 0.2 to 1.4. No significant correlation was found between ranked quality and Z2 /Z1 (see Fig. 6(a)). 4. The decrease in impedance extrema with increasing frequency Could the ranked quality depend upon how rapidly the impedance extrema decrease with increasing frequency? Values for λ [see Eq. (1)] ranged from 1 to 6 kHz−1. There was no significant correlation between λ and ranked quality [see Fig. 6(b)]. It could be argued that there is no need to look at the overall structure of the impedance spectrum. The shape of the first resonance peak (and perhaps one or two more) may influence the vibration regime but, although our measurements show the entire spectrum of Z(ƒ), the only frequencies present when a note is played at ƒo are integral multiples of that frequency (nƒo).
5. Dependence on Z(nƒo) The important parameters in determining the spectrum of the sound of the instrument playing at ƒo will be the impedance at harmonics of the fundamental frequency, i.e., Z(2ƒo), Z(3ƒo), ..., Z(nƒo), etc. The value of ƒo will probably vary from player to player, and may indeed be deliberately varied by a player to produce different interactions with Z(ƒ). To allow for this possibility the values of Z(nƒo) quoted are the maximum values calculated when ƒo was varied over a range of plus or minus one semitone in half cent steps from the measured value. There was no significant correlation between ranked quality and the individual magnitudes of either Z(nƒo) or the normalized ratio Z(nƒo) /Z(ƒo) for n=2-11 (data not shown). However there was a good negative correlation with the sum ∑Z(nƒo) for n=2-11; high quality instruments being associated with a low value for ∑Z(nƒo) (see Fig. 7). The absolute value was important rather than the relative value: there was no correlation of ranked quality with the normalized sum ∑Z(nƒo) /Z(ƒo) (data not shown).
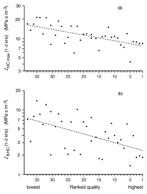
F. Relationship between quality and mid range impedance The vocal tract influences significantly the sound of the didjeridu when its impedance (measured just inside the player’s lips, during performance) is comparable to or greater than that of the instrument (Tarnopolsky et al., 2005, 2006; Fletcher et al., 2006). The main influence of the tract on the sound appears to be the production of formants in the radiated sound in the frequency range from about 1 to 2 kHz. Sufficiently high peaks of acoustic impedance in the player’s vocal tract inhibit acoustic airflow entering the instrument at those frequencies, by typically 20 dB (Tarnopolsky et al., 2006, Figs. 4 and 6). These peaks in the tract impedance thus produce minima in the sound radiated from the instrument. The resultant formants in the instrument’s sound (the frequency bands near tract impedance minima and not thus inhibited ) are important in idiomatic performance. Consequently a high quality instrument might be expected to have a low acoustic input impedance in this frequency range. Comparison of the three examples shown in Fig. 2 suggests this might be the case. To quantify this hypothesis, Fig. 8 shows the relationship between the ranked quality and the maximum impedance in the range 1-2 kHz. A clear negative correlation between the ranked quality and the logarithm of maximum impedance is apparent; the highest ranking instruments have Z≤1 MPa s m−3, whereas the instruments with lowest ranked quality have Z≥3 MPa s m−3. This is consistent with our measurements that found the vocal tract impedance measured just inside the lips needed to be several MPa s m−3 before strong formants appeared in the output sound (Tarnopolsky et al., 2005, 2006).
This observation suggests two more specific questions:
These were investigated by calculating the three above parameters for a number of narrower frequency ranges. A frequency range ƒr=200 Hz was selected to ensure that at least one maximum in Z(ƒ) was always present. In each frequency range and for each instrument, the slope and intercept (both with errors) of the correlation of the logarithm of the calculated parameter with ranked quality were calculated for each different frequency range using a plot similar to Fig. 8. The slope and intercept were then used to calculate two values of Z predicted by this relationship and their associated errors; one that would be associated with the lowest ranked instrument and the other with the highest ranked instrument. These data are plotted in Fig. 9 on a logarithmic scale as a function of frequency. For each frequency range and parameter it is apparent that a decrease in ZMAX, ZAVG, or ZRMS is always associated with an improvement in ranked quality. Figure 9(a) indicates that the improvement is most sensitive to fractional changes in ZMAX around 1200 Hz. An improvement in ranked quality produced by a decrease in ZAVG is significant over a wider frequency range (200-1600 Hz) [see Fig. 9(b)]. Figure 9(c) indicates that the ranked quality was most sensitive to fractional changes in ZRMS around 1600 Hz. The results shown in Fig. 9 indicate that, although a decrease in Z is always associated with an improvement in quality, low values in the frequency range 1-2 kHz are the best indicators of quality. G. Effects of harmonic coincidence We showed previously (Tarnopolsky et al., 2006) that "harmonic coincidence" in the 1-2 kHz region can contribute in a modest way to the strength of formants in the output sound. A set of harmonically-related maxima in the impedance of the instrument in this frequency range might, in principle, be excited by the appropriate playing pitch, or "switched off" by a relatively small change in the playing pitch. In some of the sound samples studied, this effect contributed to the magnitude of formants, although the effect was rather smaller than that produced by vocal tract resonances. Because the formants in question typically involve the 20 to 30th harmonics, changes in the playing frequency of only a couple of percent (a fraction of a semitone) can produce or remove the harmonic coincidence effect.
Could the availability of resonances in the 1-2 kHz region contribute to perceived quality? This was tested by calculating ZH defined as the sum of all the values of Z(ƒ) within a certain frequency range that corresponded to harmonics of the fundamental frequency ƒ0. (Interpolation between discrete values of Z(ƒ) was used where necessary). ZHCmax and ZHCmin were defined as the maximum and minimum values of ZH, respectively, when ƒ0 was varied over a frequency range of plus or minus a semitone in half cent steps. In all cases there was a clear negative correlation between ZHC and ranked quality (see Fig. 10(a)). Of course the difference in ZH as ƒo is varied might be the important parameter. Figure 10(b) shows ZΔHC defined as the difference ZHCmax−ZHCmin. Again there is a clear negative correlation between ZΔHC and ranked quality. It thus appears that any timbral variations produced by harmonic coincidence are more than countermanded by the necessary associated increase in Z(ƒ), which in turn reduces the effect of changes in the vocal tract impedance.
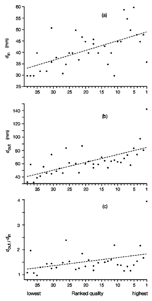
H. Relationships among geometry, quality, and acoustic impedance The bore profiles of traditional, termite-eaten didjeridus are much more complicated than those of any other wind instrument. So it is difficult to estimate acoustic parameters precisely from geometry. However we can look at some factors. A player might possibly be influenced by the size and heft of an instrument. However there was no statistically significant correlation between length and ranked quality. Z0 of a cylindrical pipe is inversely proportional to the cross-sectional area. The didjeridu bore-profile is much more complicated, but one might expect that Z0 is proportional to din−2. We found that Z0 varies with din−2 with a slope 190±30 MPa s m−5 (p=5 × 10−7). For a cylindrical tube the expected slope is around 500 MPa s m−5. Consequently a correlation between ranked quality and din, the bore diameter just inside the beeswax ring, might be expected. Figure 11(a) shows in this case, that higher quality instruments tend to have a larger diameter at the mouth end.
A correlation between ranked quality and dout might also be expected. This is because waves in the bore are more readily transmitted to the radiation field if the instrument has a large cross-sectional area at the output end. This has two effects: it reduces the magnitude of the standing wave and therefore the acoustic impedance associated with resonances. As explained above, this is a desirable consequence. Furthermore, the increased radiation increases the loudness, a property that is usually regarded by musicians as desirable in an instrument. Figure 11(b) shows that this is the case: higher quality instruments tend to have a larger diameter at the far end. There is also a positive correlation between the overall flare ratio dout /din and ranked quality [see Fig. 11(c)]. IV. CONCLUSIONS
Figure 12 presents photographs of the seven didjeridus with the highest ranked quality of the 38 studied. The large variations in external geometry illustrate just how difficult it is to judge a good didjeridu by inspection. The players’ judgments of the overall quality of the instruments were significantly concordant and allow the following conclusions. The dependence of ranked quality on a number of parameters is summarized in Table I. Most of the effects listed, however, are relatively small. Perhaps the most important conclusions are these:
This last point can be explained in terms of the techniques used for sound production and variation in the instrument (Tarnopolsky et al., 2005, 2006; Fletcher et al., 2006). At the frequencies around the maxima in the impedance spectra of the player’s vocal tract, acoustic airflow into the instrument is inhibited and, consequently, output power from the instrument is weak in these frequency bands. The formants in the output sound are the remaining bands of frequencies—those not inhibited by high impedance in the tract. This inhibition effect requires that the maxima in the impedance of the vocal tract have magnitudes comparable with or greater than the input impedance of the didjeridu.
Thus an instrument with low impedance and relatively weak resonances in this frequency range would allow the player greater control of the formants in the output sound and thus lead to high perceived playing quality. ACKNOWLEDGMENTS We thank the Australian Research Council for support. Svargo Freitag and the staff of the Didjshop kindly made available the sets of instruments and information from their own records. We would also like to thank the players who volunteered for the evaluation panel. G. R. participated as an undergraduate research project. Amir, N. (2003). "Harmonics: What do they do in the didjeridu?," in Proceedings of the Stockholm Music Acoustics Conference (SMAC 03), edited by R. Bresin, Stockholm, Sweden, pp. 189-192. a) Electronic mail: john.smith@unsw.edu.au
Reprinted with permission of the authors Read on: |
||||||||||||||||||||||||||||||||||||||||||||||||||||||||||||||||||||||||||||||||||||||||||||||||||||||||||||
|
Home | About Us | Checkout | Community | Help | Information | Shopping Didj Forum | Send a Didj Greeting Card | Guest Book |
||||||||||||||||||||||||||||||||||||||||||||||||||||||||||||||||||||||||||||||||||||||||||||||||||||||||||||
| © Didjshop.com, 1993-. For rights reserved and granted see our Copyright notice. | ||||||||||||||||||||||||||||||||||||||||||||||||||||||||||||||||||||||||||||||||||||||||||||||||||||||||||||












